Миколаївський центр психічного здоров'яМиколаївський центр психічного здоров'яМиколаївський центр психічного здоров'яМиколаївський центр психічного здоров'я
  • Головна
  • Про заклад
  • Послуги
  • Лікарі
  • Публічна інформація
  • Наркологія
  • Психіатрія
  • Паліативна допомога

Звіт про залишки лікарських засобів

  • Home
  • Публічна інформація
  • Звіт про залишки лікарських засобів
Перелік платних послуг МОЦПЗ
20.05.2025
06.10.2025

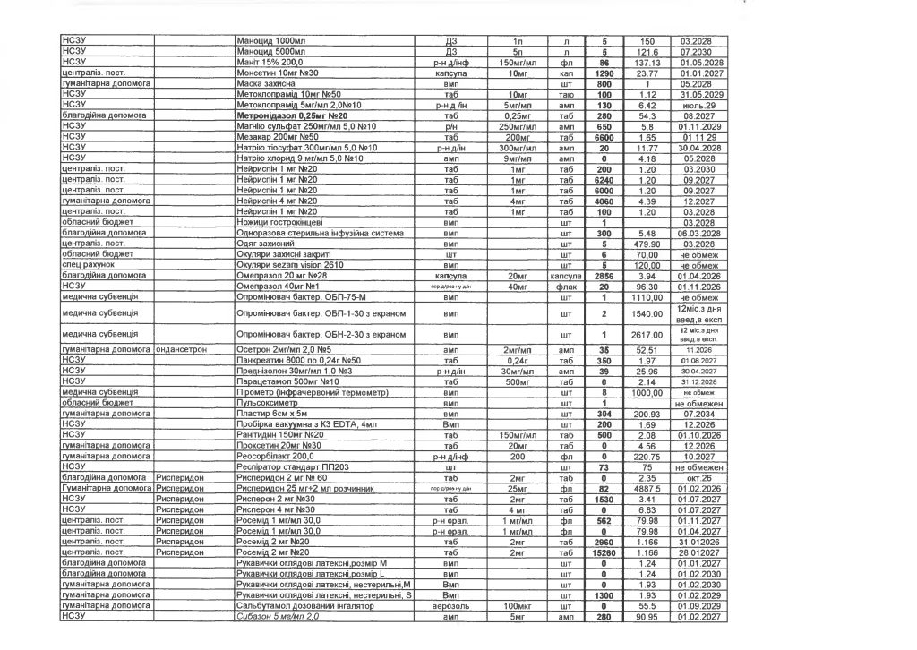
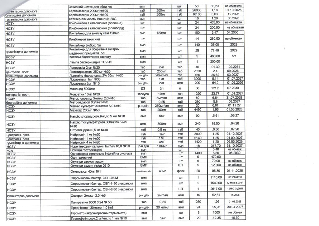
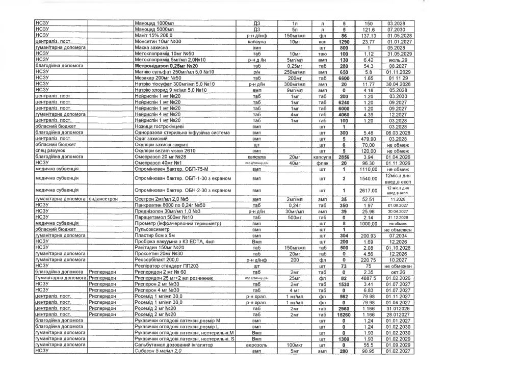
Звіт про залишки лікарських засобів

Звіт сформован 27.10.2025

© 2020-2025 Наркологія та психіатрія «Миколаївський обласний центр психічного здоров'я».